Surat Akuan Pengesahan Pendapatan Lampiran B3

Surat Akuan Pengesahan Pendapatan Lampiran B3

Surat Akuan Pengesahan Pendapatan Lampiran B3

Ulasan Pembacaan Buku Ilmiah

Ulasan Pembacaan Buku Ilmiah

Https Jwks Sarawak Gov My Modules Web Pages Php Mod Download Sub Download Show Id 72

Https Jwks Sarawak Gov My Modules Web Pages Php Mod Download Sub Download Show Id 72

Borang Pengesahan Pendapatan Lampiran C1

Borang Pengesahan Pendapatan Lampiran C1

Http Www Anm Gov My Images Download Senarai 20semak 20perakauanan Gaji 20elaun Ganjaran 20kontrak Pdf

Http Www Anm Gov My Images Download Senarai 20semak 20perakauanan Gaji 20elaun Ganjaran 20kontrak Pdf

Http Www Hasil Gov My Pdf Pdfam Contohbn Bp C2018 1 Pdf

Http Www Hasil Gov My Pdf Pdfam Contohbn Bp C2018 1 Pdf

Http Www Hasil Gov My Pdf Pdfam Contohbn Bp C2018 1 Pdf

Contoh Surat Rasmi Permohonan Kuarters Frasmi

Contoh Surat Rasmi Permohonan Kuarters Frasmi

Contoh Borang Lembaga 1 Pages 1 17 Text Version Anyflip

Contoh Borang Lembaga 1 Pages 1 17 Text Version Anyflip

Http Lampiran1 Hasil Gov My Pdf Pdfam Contohbn Bp C2019 1 Pdf

Http Lampiran1 Hasil Gov My Pdf Pdfam Contohbn Bp C2019 1 Pdf

Borang Nr R Ps1 Lembaga Hasil Dalam Negeri

Borang Nr R Ps1 Lembaga Hasil Dalam Negeri

Buku Panduan Borang B

Buku Panduan Borang B

Kementerian Perdagangan Dalam Negeri Dan Hal Dalam Negeri Dan Hal Ehwal Pengguna Perolehan Perkhidmatan Pdf Document

Kementerian Perdagangan Dalam Negeri Dan Hal Dalam Negeri Dan Hal Ehwal Pengguna Perolehan Perkhidmatan Pdf Document

Borang Pengesahan Pendapatan Uum

Borang Pengesahan Pendapatan Uum

62018 Lampiran A1 Format Jadual Penetapan Kuasa Dan Tugas Pegawai Pengawal Ptj Course Hero

62018 Lampiran A1 Format Jadual Penetapan Kuasa Dan Tugas Pegawai Pengawal Ptj Course Hero

Ulasan Pembacaan Buku Ilmiah

Ulasan Pembacaan Buku Ilmiah

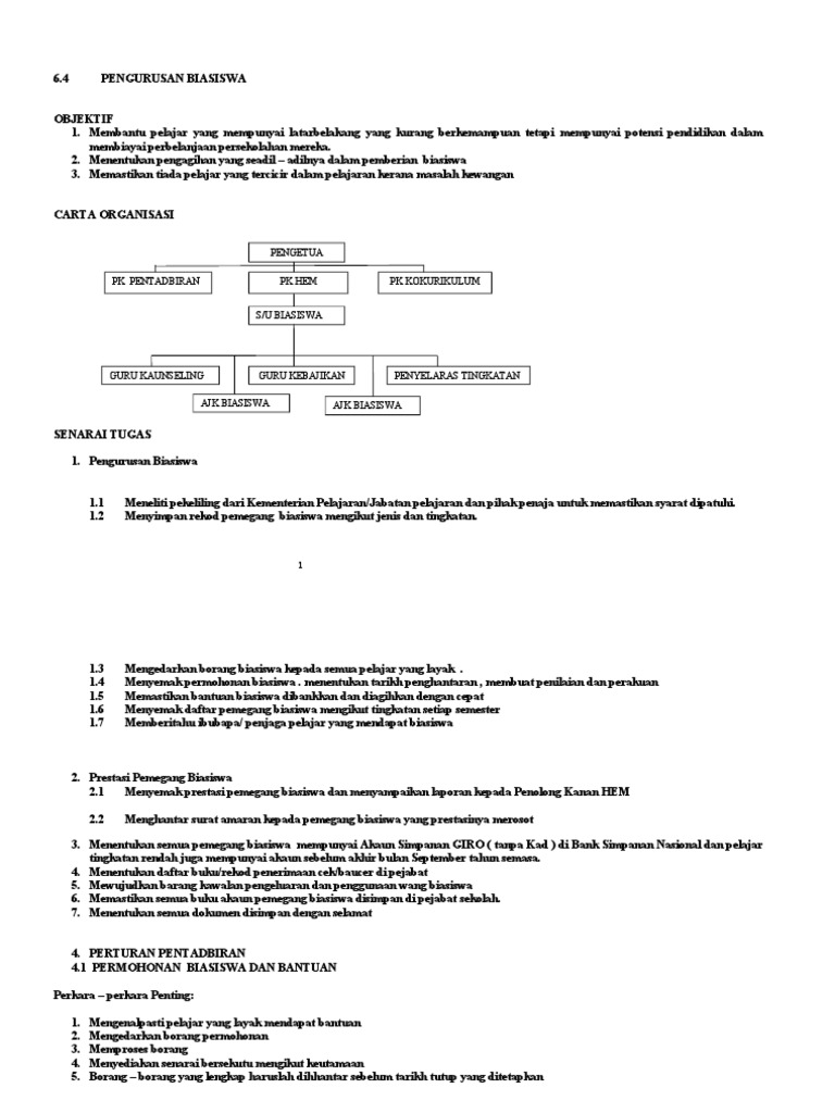
Fail Meja Biasiswa

Fail Meja Biasiswa

Buku Pendaftaran Pelajar Registration Booklet Pdf Free Download

Buku Pendaftaran Pelajar Registration Booklet Pdf Free Download

Http Www Anm Gov My Images Senarai Semak Lampiran A Lampiran M Pdf

Http Www Anm Gov My Images Senarai Semak Lampiran A Lampiran M Pdf

Buku Pendaftaran Pelajar Kolej Kemahiran Mara

Buku Pendaftaran Pelajar Kolej Kemahiran Mara

Borang Tp3 English

Borang Tp3 English

Anak Jahut Fc Home Facebook

Anak Jahut Fc Home Facebook

Panduan Keurusetiaan Pengurusan Prestasi

Panduan Keurusetiaan Pengurusan Prestasi

Senarai Semak A Proses Pendaftaran Semak A Proses Pendaftaran Utama Arahan Kepada Pelajar A Sila Cetak Semua Borang Yang Disenaraikan Dibawah Pastikan Borang Tersebut Diisi Dengan Lengkap Sebelum Tarikhb Sila Sediakan

Senarai Semak A Proses Pendaftaran Semak A Proses Pendaftaran Utama Arahan Kepada Pelajar A Sila Cetak Semua Borang Yang Disenaraikan Dibawah Pastikan Borang Tersebut Diisi Dengan Lengkap Sebelum Tarikhb Sila Sediakan

Sila Lengkapkan Borang Borang Yang Berikut Dan Bawa Ke Menerima Menolak Tawaran Untuk Belajar Di Maktab Rendah Sains Mara Tingkatan Nota Bayaran Telah Lampiran E2 Pdf Document

Sila Lengkapkan Borang Borang Yang Berikut Dan Bawa Ke Menerima Menolak Tawaran Untuk Belajar Di Maktab Rendah Sains Mara Tingkatan Nota Bayaran Telah Lampiran E2 Pdf Document

Https Encrypted Tbn0 Gstatic Com Images Q Tbn 3aand9gcq Yzcnk351yq5 Akmw54pawx8bd3iycygcdqxtulgslvvrxx3e Usqp Cau

Https Encrypted Tbn0 Gstatic Com Images Q Tbn 3aand9gcq Yzcnk351yq5 Akmw54pawx8bd3iycygcdqxtulgslvvrxx3e Usqp Cau

Dokumen Sebutharga Kawalan Keselamatan Di Masjid Tuanku Mizan

Dokumen Sebutharga Kawalan Keselamatan Di Masjid Tuanku Mizan

Borang Pengesahan Dalam An Baru

Borang Pengesahan Dalam An Baru

Surat Tolak Tawaran Docx Document

Surat Tolak Tawaran Docx Document

Tambahan Pindaan Bil Ruang Perkara Muka Perkara Muka Surat Buku Panduan Pengiraan Pendapatan Larasan Perniagaan Insuran Perniagaan Tetapi Telah Berhenti Operasi Perniagaan Pdf Document

Tambahan Pindaan Bil Ruang Perkara Muka Perkara Muka Surat Buku Panduan Pengiraan Pendapatan Larasan Perniagaan Insuran Perniagaan Tetapi Telah Berhenti Operasi Perniagaan Pdf Document

Pemakluman Mengenai Arahan Kepada Guru Kembali Ke Tempat Bertugas

Pemakluman Mengenai Arahan Kepada Guru Kembali Ke Tempat Bertugas

Source : pinterest.com